首页展会资讯医疗器械资讯DTT 完美替代品TCEP盐酸盐

DTT 完美替代品TCEP盐酸盐

来源: 聚展网2023-05-29 13:39:54 732分类: 医疗器械资讯





























































































图片

1.  概述


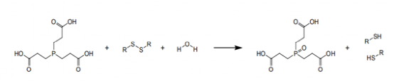
TCEP盐酸盐,即三(2-羰基乙基)磷盐酸盐,是三价磷系衍生物中作用最优的。它是一种无色、无味、易溶于水的弱还原性物质,在水中溶解度能达到310mg/mL。其在空气和水溶液中具有较高的稳定性,受温度和浓度的影响小。TCEP是一种极为合适的二硫键还原试剂(还原原理见图1),对还原二硫键选择性极强,除半胱氨酸外,几乎没有与其它氨基酸的副反应,并且能在更宽的pH值范围包括酸性条件(pH值3)下使用[1],从而有效减少酰胺键的水解。TCEP的反应活性温和、易溶、毒性小,且更容易操作,在酸性、碱性溶液中的稳定性都很好。而且其还原能力比DTT强,比DTT更稳定,它的作用可以维持2~3周,是公认的DTT(二硫代苏糖醇)的一种良好替代物。

         

TCEP盐酸盐化学结构

图片

.TCEP盐酸盐还原二硫键原理 



2.2溶液稳定性


TCEP盐酸盐在酸性、碱性水溶液中都相对稳定。TCEP盐酸盐直接溶于水后,水溶液的PH值大概为2.5。研究表明:将TCEP盐酸配置成100mMol/L的盐酸、氢氧化钠或其他类型的缓冲溶液时,溶液室温保存24h后(缓冲液清单见下表1),有效成分几乎没有减少。几周后检测,仅仅有约20%的TCEP盐酸盐被氧化失效。

表1.TCEP盐酸盐在缓冲溶液中稳定性

缓冲液种类

缓冲液PH范围

浓度(mMol/L)

24h稳定性

HEPES

6.8-8.2

50

未变化

borate

8.2-10.2

50

未变化

CAPS

9.7-11.1

50

未变化



2.3有效还原PH值范围


相对于DTT,TCEP盐酸盐可以在较宽的PH范围内还原二硫键[1]。实验表明,其在PH=1.5-9.0范围内,只需要30秒就可以将二硫二吡啶彻底还原。如果PH>9.0,只有50%的二硫二吡啶被还原。相对于DTT,在溶液PH<8.0时,TCEP盐酸盐的还原性更强,其甚至可以还原氧化态的DTT。



2.4有效还原浓度


一般情况下,使用相对过量的TCEP盐酸盐,5-50mMol/L的浓度几分钟就可以在室温条件下将多肽或蛋白中的二硫键彻底还原。Han试验表明,使用30uMol/L浓度的TCEP盐酸盐,在PH=1.5-8.5范围内,大约40分钟内可以将二硫二吡啶彻底还原[2]。如果仅使用等当量的TCEP盐酸盐,彻底还原需要的时间会更长。Mery报道使用1:1当量的TCEP盐酸盐彻底还原二硫键的大概时间为1小时[3]。



2.5使用范围


(1)因为TCEP盐酸中不包含硫的结构,其还原反应液不需要进行额外的提纯,可以直接用于含有马来酰亚胺或交联试剂的溶液。一般情况下,TCEP盐酸盐浓度小于10-20mMol/L可以直接用于含有马来酰亚胺的化学反应。

(2)50mMol/L的TCEP盐酸盐溶液可以作为DTT或者2-巯基乙醇替代试剂,但是TCEP盐酸需要在溶液中才能发挥作用,所以它不适合用于等电聚焦电泳(IEF)。

(3)当涉及到在免疫球蛋白铰链区还原二硫键进行的抗体标记,需同时还原重链和轻链的操作时。这类特殊还原操作一般使用2-巯基乙胺。Blauenstein证实了TCEP盐酸盐也可以用于以上特殊的还原操作[4]。将3.8-4.0mMol/L的TCEP盐酸盐溶液加入到10mg/ml的免疫球蛋白于0.1mol/L磷酸盐缓冲溶液中,缓冲溶液PH大约4.6-7.5,室温20-30分钟就可以将二硫键还原,通过脱盐柱可以去除TCEP盐酸盐还原副产物。

TECP-HCl的优势(与DTT相比较)

与其他的还原剂如DTT,β-ME(BME)相比,TECP-HCl具有许多优点:

1) 无臭:不像DTT或BME,无异味,可在工作台上进行蛋白或多肽还原实验,创造更健康的实验环境;

2) 强特异性:宽广pH范围内,选择性的,完全且均匀的还原最稳定的水溶性二硫键;

3) 使用简便:于室温,pH 5的条件下<5min即可有效还原;

4) 稳定性高:TECP-HCl自身结构的内在稳定性和对空气氧化的抵抗性,使得处理和保存的过程中不需做任何预防措施。与蛋白中的其他官能团不会发生反应。

5)  效率高:对于大部分应用,5-50mM TECP-HCl于室温条件作用几分钟,即可提供充足的摩尔力来还原二硫键。

6)  兼容性广:因不含硫醇,在执行许多马来酰亚胺标记或交联试剂的反应前勿需提前去除TECP-HCl。大多数条件下,<10-20mM TECP-HCl兼容于马来酰亚胺化学反应。

使用TECP-HCl的考虑事项【何时用,何时不用??】

1) TCEP-HCl易溶于几乎所有pH的水溶性缓冲液;这一特性允许实验前开始准备工作液和10×储存液。

2) TCEP-HCl在磷酸盐缓冲液不是很稳定,特别在中性或碱性pH。因此,若必须使用溶于PBS的TCEP,建议使用前才开始配制工作液。

3) TCEP-HCl可能用作DTT和BME的替代物,用于SDS-PAGE实验用的样品上样缓冲液;使用终浓度为50mM。

4) 由于TCEP-HCl在溶液中带正电荷,因此不能与等电点聚焦应用兼容。

产品

DTT

TCEP HCl

气味

不愉快气味

水溶解性

50mg/mL

310mg/mL

还原性

维持3-7天

维持2-3周

稳定性

挥发性弱,尽量减少暴露在空气中的时间,在Ni2+存在下,快速氧化

不挥发,抗空气氧化;不受金属离子影响

PH工作范围

6.5-9.0

1.5-8.5

工作浓度

1-100mM

5-50mM(大多数体系)

Ni2+柱纯化His标签的蛋白

不适用

适用

马来酰亚胺标记蛋白反应

标记前需要去除

标记前不




苏州海恒生物医药有限公司是一家从事体外诊断试剂(IVD)原料,生化试剂和生物缓冲剂研发,生产的高科技企业。公司努力为广大诊断试剂企业提供专业化的技术服务,并凭借专业的科技创新人才,优秀的经营管理团队和完善的技术支持,坚持用最优的技术,提供最佳的服务。我公司已与多家诊断试剂公司、医药公司、高校、科研机构建立了广泛深入的合作,同时也希望用我们专业的技术和优质的服务与更多的研发机构、企事业单位进行合作,我司免费提供TCEP 盐酸盐样品给各大诊断试剂厂家,摊位号A7-2922,欢迎惠顾!

目前我公司的主要产业有:TCEP盐酸盐  TMB 鲁米诺 鲁米诺钠 NBT AHMT MBTH EGTA DTNB MTT BCA-2Na ANS-NH4 L-乳酸锂 AMPPD APS-5 十二烷基硫酸锂等。

-END-

供稿:Bonnie

编辑:As素  |  校对:咸鱼 |  责编:木霖森

图片

精彩链接

“创之声”第八届中国实验医学大会隆重举行
亮•检验——第六届体外诊断青年企业家论坛成功召开
第五届中国IVD流通企业论坛胜利召开

声明:①本原创发表的文章,任何个人、媒体、网站如需转载,须在文首位置注明转自“CACLP体外诊断资讯”②注明来源的文章为转载,不代表本平台观点和立场 ③ 媒体合作:021-52258212

点击阅读原文,注册博览会门票

参考资料:

中国国际检验医学暨输血仪器试剂展览会

CACLP

举办地区:福建

开闭馆时间:09:00-18:00

举办地址:厦门市翔安区滨海东大道

展览面积:70000㎡

观众数量:80000

举办周期:1年1届

主办单位:CACLP组委会

声明:文章部分图文版权归原创作者所有,不做商业用途,如有侵权,请与我们联系删除
来源:聚展网
展位咨询
门票预订
展商名录
展位申请
门票预订
展商/电子会刊
展位销售
许经理
许经理
金牌项目经理
直线 0571-89095399
专属微信wechat
wechat

工作时间: 周一至周五 09:00-18:00

医疗器械行业展会
中国(广州)国际医疗器械展览会cmef
2025.09... 查看展会时间
CMEF
秋季广交会三期
2025.10... 查看展会时间
纺织服装、医疗器械、食品、鞋包
中国(上海)国际医疗器械展览会
2026.04... 查看展会时间
CMEF
瑞士心脏医疗器械展览会
2026.10... 查看展会时间
IFAS EXPO
广州药交会-全国药品交易会
2025.05... 查看展会时间
PHARMCHINA
德国杜塞尔多夫医疗器械展览会MEDICA
2025.11... 查看展会时间
MEDICA
浙江杭州基层医疗展览会
2025.09... 查看展会时间
ZIMEX
春季广交会三期
2026.05... 查看展会时间
玩具及孕婴童、服装家用纺织品、文具、医疗保健、宠物用品
成都医疗器械展览会-成都医博会
2026.03... 查看展会时间
CDMEE
中东迪拜医疗器械展览会
2026.02... 查看展会时间
Arab Health